發布日期:2025-11-10 20:24:18
細長軸在機械連接、傳動及精密配合等領域應用廣泛。其車削加工時,由于線速度較低,且其長徑比較大,支撐剛度較低。在切削力作用下易于發生彎曲變形。這一變形在鈦合金、高溫合金等難加工材料的細長軸加工變形尤為突出,往往導致被加工零件表面質量難以達到預期精度要求。
針對細長軸車削易產生振動與變形的問題,研究人員從裝夾方式、走刀方式以及振動監測等方面展開了改進,不斷提高細長軸車削質量。在裝夾工藝方面,常用消除振動的方法有,通過添加阻尼器以增強系統阻尼特性[1];或者在細長軸兩端添加鋼絲墊,實現變形調節[2];將軸向切削力改為拉力,改善受力狀態等[3-4]。BERI B 等[5]提出了一種基于機床尾座,在細長軸末端施加三種不同的軸向激勵改變軸向剛度來提高車削穩定性。在輔助支撐方面,祝升亮等[6]對長度為 6 110 mm 的 TC11 鈦合金細長軸車削加工工藝進行優化,采用“卡盤夾緊+中心架固定”的裝夾方式,成功滿足了零件外形尺寸精度和表面質量要求。有些學者提出了水射流自動補償技術,通過將噴嘴與刀具同軸安裝,利用水射流沖擊力與刀具徑向力相互抵消,顯著提高了細長軸直線度,降低了零件表面粗糙度[7]。苗新剛等[10]建立了細長軸切削加工變形補償模型,驗證輔助支撐對提高加工精度的重要性。吳展遙等[11]通過實驗結果表明:水射流輔助支撐車削細長軸可以使其中間位置處平均表面粗糙度由 7.987 μm 降低到 3.099 μm,端點位置處平均表面粗糙度由 6.759 μm 降低到 2.811 μm。徐文君等[12]將超聲振動車削技術運用到 6061 鋁合金細長軸加工過程中,細長軸表面質量穩定性較好。
郭東升等[13]探究了超聲振動車削中刀具振動頻率、振幅和切削速度這 3 個參數對切削力的影響。王棟梁等[14]使用聚晶立方氮化硼刀具對精密液壓滑閥閥芯進行了軸向超聲振動車削試驗,揭示了進給量對切削溫度、切削力、表面粗糙度與切屑形貌的影響規律。柴寧生等[15]采用正交試驗和控制變量法對 316L 材料進行了軸向超聲振動車削試驗研究,探究了超聲振動車削三要素與振幅對切削溫度與切削力的影響規律。李會文等[16]人將超聲振動引入 Ti6Al4V 鈦合金的普通車削加工,結合有限元仿真技術探究超聲振動對 Ti6Al4V 鈦合金車削加工效果的影響。彭振龍等[17]開展了鈦合金 Ti6Al4V 的高速車削試驗,分析了高速超聲振動切削技術對鈦合金 Ti6Al4V 表面完整性和已加工表面耐磨損性能的影響,進而為鈦合金 Ti6Al4V 的高質量加工提供理論支撐。王立強[18]研究了加工過程中切削溫度隨切削參數和超聲振幅的變化規律。王進等[19]基于等效熱—力載荷建立了 Ti6Al4V 合金超聲振動車削三維有限元模型,通過數值計算確定了力—熱載荷分布形狀、強度在超聲振動切削中的變化規律。李柏林等[20]進行普通磨削加工與縱扭超聲磨削加工氧化鋯陶瓷表面的測力實驗。高緒寅等[21]采用較大的銑削寬度和進給量,切削效率較高.建立了插銑加工鈦合金整體葉輪流道的仿真模型。王偉等[22]研究了銑削用量對銑削激光增材制造鈦合金的銑削力的影響,建立了銑削激光增材制造 (selective laser melting, SLM ) TC4 鈦合金的仿真模型。
為驗證超聲振動車削技術對 TC4 鈦合金細長軸主切削力的影響規律,本課題通過有限元仿真技術分析了超聲參數對 TC4 鈦合金材料切削力的影響規律;在對細長軸車削受力分析的基礎上,選用長度為 300 mm直徑為 10 mm 的 TC4 鈦合金細長軸為研究對象,分析了其切削力在超聲振動車削影響下的變化規律。
1、TC4 鈦合金切削建模
金屬的切削過程是一個涉及多學科(包括彈、塑性力學,熱力學,化學,機械動力學以及摩擦力學等)、多領域的復雜非線性熱-力耦合過程[17]。在對鈦合金切削仿真過程中,通常是建立 Johnson-Cook 本構方程,該模型揭示了鈦合金在切削過程中各變量之間的關系。有實驗表明,超過 90%的機械能會在加工過程中轉化為熱能,并以溫度升高的形式在切屑、切削刀具和加工表面表現出來。因此,該過程被視為是一個多輸入多輸出的生熱系統,其過程主要涉及由剪切變形和摩擦引起的復雜熱機械載荷。具體形式為

式中:σ為有效屈服應力;ε為材料應變率;T為當前切削溫度;Tm為材料熔化溫度;T0為室溫;ε0為參考應變率;ε為等效塑性應變率;A為材料屈服強度;B為應變;C為應變敏感率;n為硬化系數;m為熱 軟化參數。TC4鈦合金本構模型參數及物理和熱力學性能參數見表1。
表 1 TC4 鈦合金本構模型參數及物理、熱力學性能參數 [17]
| 參數 | 取值 |
| A /MPa | 1098 |
| B /MPa | 1092 |
| n | 0.93 |
| C | 0.014 |
| 等效塑性應變率相關參數 | 1.1 |
| T₀ /℃ | 20 |
| Tₘ /℃ | 1680 |
| 參考應變率相關參數 | 1 |
| 線膨脹系數 α /℃⁻¹ | 8.6×10⁻⁶ |
| 比熱容 c /(J/kg/℃) | 580 |
| 密度 ρ /(kg/m³) | 4.43×10³ |
| 彈性模量 E /MPa | 1.138×10⁵ |
| 泊松比 ν | 0.342 |
| 熱導率 η /(W/m・℃) | 7.3 |
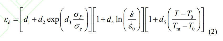
采用綜合考慮應變硬化、應變率硬化和熱軟化效應的失效準則能更好地闡述工件與刀具相互作用表面 之間的裂紋生長行為,所以在本文中采用Johnson-Cook失效準則進行仿真。具體表達式為

式中:εd 為失效應變;σp為主應力平均應力;σε為Mises應力;d1~ d5為分離參數。
根據確定好的加工參數進行模型裝配,如圖1所示。為提高仿真速率,將裝配體模型劃分為切削區域、 工件基體以及刀具3個網格區域。切削區域作為切削變形的主要區域,需要對其進行網格細化;而工件基 體基本不涉及受力分析,所以該區域網格尺寸較大;仿真過程不考慮刀具磨損,可將其設為剛體模型。
2、切削力對比分析
2.1 超聲頻率對切削力的影響
在車削過程中,切向切削力最大,在對切削性能進行研究時,通常將該力作為主切削力進行分析。超 聲振動車削是在刀具不同切削方向施加超聲波振動,車削過程如圖 1 所示。根據超聲波種類的不同,可以 分為一維超聲振動車削、二維超聲振動車削和三維超聲振動車削。

將二維超聲振動車削和三維超聲振動車削的超聲頻率分別設置為20 kHz和30 kHz,在穩定切削階段所 得的主切削力和徑向切削力變化曲線如圖2所示。在超聲振動的作用下,刀具與切屑可實現周期性接觸和 分離,所以切削力會隨著超聲振動周期實現周期性變化;隨著切削深度不斷增加,切削力也隨之增大;在0.00158 s時,前刀面與切屑之間的摩擦發生逆轉,使得切削力反方向變化;在刀具與切屑分離時,刀具不 做功,切削力會突變為0。在相同的超聲頻率下,主切削力和徑向切削力變化同相位;當超聲頻率由20 kHz增大到30 kHz時,在相同時間內刀具振動次數增加,切削力變化頻率快。從圖2a觀察到,二維超聲振動車 削時,超聲頻率為30 kHz時主切削力變化幅度寬大于20 kHz,且最大值峰值差別不大,分別為90.34 N和91.89 N。但在相同情況下徑向切削力在超聲頻率為20 kHz時的變化幅值明顯大于30 kHz,兩者徑向切削力 相差14.81 N。同理可得圖2b中三維超聲振動車削在超聲頻率為20 kHz和30 kHz時,超聲頻率對三維超聲 振動車削時的主切削力以及徑向切削力的作用效果與二維超聲振動車削時的變化規律類似。

對比兩種超聲車削,當超聲頻率為20 kHz時,二維超聲振動車削主切削力和徑向切削力的最高與最低 差值為:90.92 N、31.73 N。而三維超聲振動車削兩者差值則是88.87 N、28.11 N。三維振動車削在提高切 削力穩定性方面優于二維超聲振動車削;同理,在超聲頻率為30 kHz時,也獲得同樣的結論。
在不同超聲頻率下,測得主切削力平均值及徑向切削力平均值如圖3所示。隨著超聲頻率的增大,兩 種超聲加工方式下的切削力均呈現下降趨勢。二維超聲振動車削時主切削力由46.49 N減小到40.40 N,三 維超聲振動主切削力由46.06 N減小到39.41 N,分別下降了13.1%和14.4%;三組對比試驗結果表明,三維 超聲振動車削時的主切削力均小于二維超聲振動車削,并在超聲頻率為25 kHz時相差最大。在對徑向切削 力分析時可知,隨著超聲頻率的增大,二維超聲振動車削和三維超聲振動車削的徑向切削力分別減小了5.60 N和4.97 N。

當超聲頻率增大時,刀尖位置的線速度不斷增大,完成一個振動周期所需時間變小,占空比的增大是 使得切削力減小的主要原因;而切削力最大值是由于刀具與工件接觸時的沖擊作用造成的,三維超聲振動 由于比二維超聲振動多了一個方向上的超聲振動,所以在切削過程中摩擦逆轉現象更為明顯,使得瞬時沖 擊力降低。對比兩種超聲加工方式下的切削力可知,三維超聲振動車削在降低切削力方面效果更為顯著。
2.2 超聲振幅對切削力的影響
在保持車削參數不變的情況下,超聲頻率均設置為30 kHz,改變超聲振幅,二維超聲振動車削和三維 超聲振動車削的主切削力和徑向切削力變化曲線如圖4所示。

二維超聲振動車削在超聲振幅為5 μm時的主切削力和徑向切削力最大值比10 μm時分別大20.80 N、7 N;三維超聲振動車削分別大18.81 N、6 N。且無論是二維超聲振動車削還是三維超聲振動車削,其主切削 力和徑向切削力曲線的變化幅度均隨超聲振幅的增大而減小;超聲振幅不會對切削力曲線變化頻率產生影 響,但會改變切削力峰值大小以及切削力變化范圍。
為進一步探究超聲振幅對切削力的影響規律,設置超聲振幅分別為5、8、10 μm,測得主切削力平均值 及徑向切削力平均值如圖5所示。從圖5a可知,超聲振幅對切削力的作用效果與超聲頻率相似,隨著超聲 振幅的增大,二維超聲振動切削的主切削力分別為:40.40 N、32.43 N、29.15 N,減小了11.25 N,降幅為27.8%;三維超聲振動切削的主切削力分別為39.41 N、31.98 N、28.93 N,減小了10.48 N,降幅為26.6%, 三維超聲振動車削的主切削力均小于二維超聲振動車削。圖5b為徑向切削力隨超聲頻率的變化規律,在兩 種車削方式下,徑向切削力均隨著超聲振幅的增大先減小后增大;三維超聲振動車削時的徑向切削力均小 于二維超聲振動車削,且在超聲振幅為5 μm時相差最大。

2.3 切削力結果分析
仿真分析表明,細長軸車削過程中兩端穩定性優于中間部分。為了測得較為準確的切削力,選擇測量 靠近細長軸近兩端切削區域的切削力值。
對比表2的二維超聲與三維超聲車削的主切削力值。在相同加工參數下,二維超聲振動車削產生的主 切削力均大于三維超聲振動車削,在切削速度v =25 m/min、進給量f =0.08 mm/r、背吃刀量ap=0.08 mm時 二者最大差值為2.94 N,表明三維超聲振動車削可有效降低切削力。
表 2 主切削力實驗值對比
| 試驗編號 | 二維超聲 /N | 三維超聲 /N |
| 1 | - | 6.51 |
| 2 | - | 10.34 |
| 3 | - | 10.05 |
| 4 | 9.08 | 11.16 |
| 5 | 10.85 | 11.51 |
| 6 | 8.46 | 10.96 |
| 7 | 8.24 | 10.33 |
| 8 | 7.46 | 9.52 |
| 9 | 19.32 | 22.26 |
在對實驗結果進行極差分析后,得到表3、4所示的極差分析結果。在加工過程中,切削力越小,刀具 壽命及加工質量越好,所以在極差分析時極差值越小越好。在二維超聲振動和三維超聲振動中,切削速度 極差值最小,分別為3.06和2.71。背吃刀量極差值最大,分別為6.29和5.44。由此可得切削參數對主切削 力的影響程度的主次順序均為:ap> f>v;最優參數水平為:v=15 m/min,f =0.04 mm/r,ap=0.04 mm。
表 3 二維超聲振動主切削力極差分析結果
| 項目 | v/ (m/min) | f/ (mm/r) | aₚ/mm |
| K₁ | 32.92 | 28.70 | 27.69 |
| K₂ | 33.63 | 34.18 | 34.40 |
| K₃ | 42.11 | 45.78 | 46.57 |
| k₁ | 10.97 | 9.57 | 9.23 |
| k₂ | 11.21 | 11.39 | 11.47 |
| k₃ | 14.04 | 15.26 | 15.52 |
| 極差 | 3.06 | 5.69 | 6.29 |
| 最優水平 | 20 | 0.04 | 0.04 |
| 主次順序 | - | aₚ > f > ν | - |
表 4 三維超聲振動主切削力極差分析結果
| 項目 | v /(m/min) | f /(mm/r) | aₚ/mm |
| K₁ | 26.90 | 23.83 | 22.43 |
| K₂ | 28.39 | 28.65 | 29.14 |
| K₃ | 35.02 | 37.83 | 38.74 |
| k₁ | 8.97 | 7.94 | 7.48 |
| k₂ | 9.46 | 9.55 | 9.71 |
| k₃ | 11.67 | 12.61 | 12.91 |
| 極差 | 2.71 | 4.67 | 5.44 |
| 最優水平 | 20 | 0.04 | 0.04 |
| 主次順序 | - | aₚ > f > ν | - |
由圖6a可知,在切削速度為15~25m/min時,TC4鈦合金細長軸的主切削力隨切削速度的增大而增大, 兩種加工方式下,主切削力變化規律基本相同;圖6b則表明主切削力隨著進給量的增大而增大;從圖6c可知,主切削力與背吃刀量成正相關。通過對比兩種加工方式可知,切削參數在一定范圍內,兩種超聲振 動車削主切削力隨切削參數的改變趨勢基本一致。

3、結語
(1)切削力會隨著超聲振動周期實現周期性變化。隨著切削深度不斷增加,切削力隨之增大;在一定 位置時,前刀面與切屑之間的摩擦發生逆轉,使得切削力反方向變化。
(2)二維超聲振動車削時,超聲頻率為30 kHz時主切削力變化幅值明顯大于20 kHz,且最大值相差 不大,分別為90.34 N和91.89 N。但在相同情況下徑向切削力在超聲頻率為20 kHz時的變化幅度明顯大于30 kHz,最大徑向切削力相差14.81 N。
(3)在超聲頻率為20 kHz時,二維超聲振動車削主切削力和徑向切削力變化幅值為:90.92 N、31.73 N, 而三維超聲振動車削則為88.87 N、28.11 N。三維振動車削在提高切削力穩定性方面的優勢強于二維超聲振 動車削;同理,在超聲頻率為30 kHz時,也可得到相同的作用規律。
(4)在切削速度為15~25 m/min時,TC4鈦合金細長軸的主切削力隨切削速度的增加而增大,兩種加 工方式下,主切削力的變化規律基本相同;圖5b則表明主切削力隨著進給量的增大而增大;從圖5c可知, 主切削力與背吃刀量成正相關。通過對比兩種加工方式可知,切削參數在一定范圍內,兩種超聲振動車削 主切削力隨切削參數的改變趨勢基本一致。
參考文獻
[1] 周大勇,周玲,武春燕.普通車床加工細長桿零件的工藝改進[J].設備管理與維修, 2019(19):111-112.
[2] 王南,白意東,王麗,等.基于 BP 神經網絡的拉夾逆向車削細長軸切削力預測[J].組合機床與自動化加工技術, 2017(9):66-68.
[3] 喻紅中.探析細長桿件車削加工方法[J].時代農機, 2019, 46(7):25-27.
[4] 王建軍,張小葉,張文帥,等.軸向拉力對細長軸車削效果影響研究[J]. 機械設計與制造工程, 2023, 52(8):40-44.
[5] BERI B,MESZAROS G,STEPAN G.Machining of slender workpieces subjected to time-periodic axial force: stability and chatter suppression[J].Journal ofsound and vibration, 2021, 504:116114.
[6] 祝升亮,牛蕊東.TC11 鈦合金細長桿車削加工工藝分析[J].機電工程技術, 2022,51(2):66-69.
[7] 宋燦,呂彥明,徐看,等.水射流輔助支撐改善細長軸加工中的彎曲變形[J].機械設計與研究,2015, 31(1): 99-101.
[8] 盧曉艷.基于射流支撐的細長軸加工誤差補償設計[J]. 組合機床與自動化加工技術, 2015(9):20-23.
[9] 鄧宇鋒,吳利明.基于三維移動切削液鏡像支撐細長軸加工精度研究[J].機床與液壓, 2017,45(17):136-139.
[10] 苗新剛,武美萍,繆小進.水射流主動補償細長軸切削加工變形[J].機械設計與研究, 2016,32(6):90-93.
[11] 吳展遙,陸正興.基于水射流自動補償細長軸加工振動研究[J].機床與液壓, 2018,46(2):25-28.
[12] 徐文君,路冬,李衛生,等.細長軸超聲橢圓振動輔助車削試驗[J].工具技術, 2016,50(11):17-22.
[13] 郭東升,張敏良,趙 森,等. 超聲振動車削參數對切削力的影響[J],輕工機械,2019,37(5):29-33,38
[14] 王棟梁,竇建明,彭文,等.軸向超聲振動車削液壓滑閥閥芯的試驗研究[J[,現代制造工程,2020 (1):97-101
[15] 柴寧生,張敏良,史春光,等.超聲振動車削 316L 試驗研究[J],農業裝備與車輛工程,2022, 60(5):116-119
[16] 李會文,皮云云. Ti6Al4V 鈦合金超聲振動車削加工效果的有限元仿真分析[J],工具技術,2022,56(6):83-88
[17] 彭振龍, 張翔宇, 王剛, 等.鈦合金高速超聲振動車削表面完整性及耐磨損性能試驗研究[J].航空制造技術, 2024, 67(9):30-36,50.
[18] 王立強.鋁合金薄壁管件二維超聲振動車削溫度試驗研究[J],遼寧工業大學學報(自然科學版),2024, 44(4): 217- 221
[19] 王進,劉國梁,鄭金滔,等.基于等效熱—力載荷的 Ti6Al4V 合金超聲振動車削表面殘余應力場創成機理模擬研究[J],工具技術,2024,58(11):49-56
[20] 李柏林,魏昕,林佳杰.縱扭超聲銑磨氧化鋯陶瓷的進給方向磨削力及實驗研究[J],機械設計與制造,2020 (11): 250-253,257
[21] 高緒寅,姜增輝,王書利,等. 插銑鈦合金整體葉輪流道切削力的研究[J],制造技術與機床,2024(6):5-10.
[22]王偉,,金成哲,王俊杰,等. 銑削激光增材制造 TC4 鈦合金銑削力的研究[J],制造技術與機床,2024(8):49-54
第一作者:劉愛軍,女,1971 年生,碩士,高級實驗師,主要從事機械制造與加工的科研與教學工作。
E-mail:ajliu@git.edu.cn
通信作者:周知進,男,1969 年生,博士,教授,主要從事機械制造與液壓技術的科研與教學工作。
E-mail:zjzhou@git.edu.cn
(注,原文標題:TC4鈦合金細長軸超聲振動車削力對比分析)


